Skip to main content

What is Vision Zero?

The Problem

 

Across the country, whenever someone dies or gets injured in a traffic crash, the lives of those involved, their families, and entire communities are forever changed.

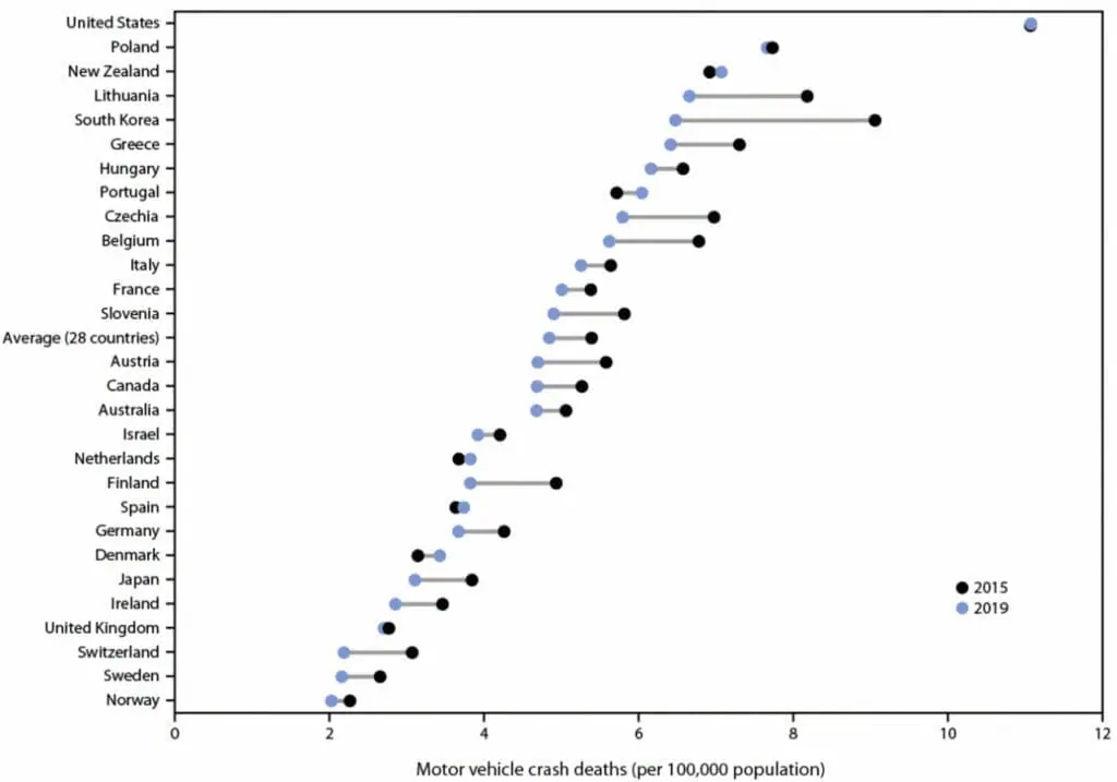
Approximately 40,000 individuals are killed every year on our roadways, including over 1,700 people in North Carolina in 2021 alone (Sources: NCDOT, IIHS). Tragically, that number has been increasing in recent years; meanwhile countries similar to the US, have seen those numbers decline (Source: CDC).

 

Figure 1: U.S. Motor vehicle crash deaths and deaths per 100,000 people, 1975-2020 (Source: IIHS)

Figure 2: Motor vehicle crash deaths per 100,000 population — 28 high-income countries, 2015 and 2019 (Source: CDC)

A New Approach

Vision Zero is a traffic safety approach focused on eliminating traffic deaths and serious injuries, while improving access to safe, sustainable, and equitable mobility for everyone. Setting zero as the only acceptable target, Vision Zero sends a strong message: deaths on our transportation network are unacceptable and preventable.

 

We know that road deaths are not really “accidents” because they do not occur randomly. Certain populations are at an increased risk, including people outside of vehicles (e.g., individuals using wheelchairs, walking, and biking), as well as people of color, lower income individuals, children, seniors, and people with disabilities (Source: Vision Zero Network).

Vision Zero represents a paradigm shift by acknowledging that responsibility for preventing road deaths is a shared one—meaning designers of the transportation system (i.e. planners, engineers, public health professionals, law enforcement and elected officials) must work collaboratively to ensure a safe system by addressing the root causes and inequities in traffic deaths.

Ensuring a Safe System

 

Vision Zero is grounded in the Safe System approach.

The Safe System approach is based on the ethical principle that no loss of life is acceptable while acknowledging that humans make mistakes and that human bodies have a limited ability to tolerate crash impacts. In a Safe System, those mistakes should never lead to death. Applying the Safe Systems approach means taking proactive steps to implement effective strategies that prevent the most dangerous crashes (e.g., use of roundabouts to prevent angle crashes or interlock devices to prevent impaired driving) as well as ensuring that when crashes occur, they are not severe (e.g., lowering speed limits and quick emergency response). Therefore, road design and management should encourage safe speeds, use all tools available to reduce injury severity for all road users, and provide safe options for people to get where they need to go.

Death and serious injuries are unacceptable

Humans make mistakes

Humans are vulnerable

Responsibility is shared

Safety is proactive

Redundancy is crucial

A Growing Movement

In order to confront this persistent public health crisis, large cities in the US began adopting Vision Zero, as early as 2014. Since then, Vision Zero has grown, with smaller municipalities, states, and regional entities signing on.

 

More recently, the National Roadway Safety Strategy and Safe Streets and Roads for All (SS4A) grant program have demonstrated the commitment to Vision Zero and a Safe System approach at the national level. The National Roadway Safety Strategy lays out a plan for reducing serious injuries and deaths on our nation’s highways, roads, and streets, involving leadership from diverse sectors and agencies. The SS4A funds planning and implementation projects for regional, local, and Tribal initiatives to prevent roadway deaths and serious injuries, using a Safe System approach.

For an up-to-date map listing the number of US states and municipalities that have adopted Vision Zero plans, with links, click here.

Learn more about the
Vision Zero Initiative